一、计算步骤

本节许用轴向压缩应力计算方法适用于设计温度低于材料蠕变温度,且满足的圆筒。

1、理想弹性圆筒轴向压缩临界应力

按公式(3)计算σcr

……(3)

式中:

σcr——理想弹性圆筒轴向压缩临界应力,单位为兆帕(MPa);

ν——材料的泊松比;

Et——材料在设计温度下的弹性模量,单位为兆帕(MPa);

δe——圆筒或球壳的有效厚度,单位为毫米(mm);

Ro——圆筒的外半径,单位为毫米(mm)。

2、材料塑性影响系数

按公式(4)计算β。

……(4)

式中:

β——材料的塑性影响系数;

ReLt——材料在设计温度下的屈服强度,单位为兆帕(MPa);

σcr——理想弹性圆筒轴向压缩临界应力,单位为兆帕(MPa)。

3、结构特征参数

按公式(5)~公式(7)分别计算ω、ωE和ωP

……(5)

式中:

ω——圆筒的结构特征参数;

L——圆筒的长度,单位为毫米(mm);

Ro——圆筒的外半径,单位为毫米(mm);

δe——圆筒或球壳的有效厚度,单位为毫米(mm)。

……(6)

式中:

ωE——圆筒第二类、第三类屈曲的分界点;

L——圆筒的长度,单位为毫米(mm);

Et——材料在设计温度下的弹性模量,单位为兆帕(MPa);

Ro——圆筒的外半径,单位为毫米(mm);

ReLt——材料在设计温度下的屈服强度,单位为兆帕(MPa);

材料的泊松比。

……(7)

式中:

ωP——圆筒第一类、第二类屈曲的分界点;

L——圆筒的长度,单位为毫米(mm);

Et——材料在设计温度下的弹性模量,单位为兆帕(MPa);

Ro——圆筒的外半径,单位为毫米(mm);

ReLt——材料在设计温度下的屈服强度,单位为兆帕(MPa);

ν——材料的泊松比。

4、理想圆筒轴向压缩临界应力

按如下方法确定理想圆筒轴向压缩临界应力σacr

a) 对β≤0.2的圆筒

按公式(8)计算σacr

……(8)

式中:

σacr——理想圆筒轴向压缩临界应力,单位为兆帕(MPa);

ReLt——材料在设计温度下的屈服强度,单位为兆帕(MPa)。

b) 对0.2<β≤1.2的圆筒

按公式(9)计算σ:

……(9)

式中:

σacr——理想圆筒轴向压缩临界应力,单位为兆帕(MPa);

σcr——理想弹性圆筒轴向压缩临界应力,单位为兆帕(MPa);

β——材料的塑性影响系数。

c) 对β>1.2的圆筒

按公式(10)计算σacr

……(10)

式中:

σacr——理想圆筒轴向压缩临界应力,单位为兆帕(MPa);

σcr——理想弹性圆筒轴向压缩临界应力,单位为兆帕(MPa);

e——自然常数,取2.718;

ω——圆筒的结构特征参数。

5、圆筒轴向压缩临界应力折减因子

按如下方法确定圆筒轴向压缩临界应力折减因子ρ。

a) 对ω≤ωp的圆筒

按公式(11)计算轴向压缩临界应力折减因子ρ:

ρ=0.9……(11)

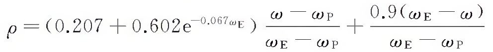
b) 对ωp<ω≤ωE的圆筒

按公式(12)计算ρ:

……(12)

式中:

ρ——圆筒轴向压缩临界应力折减因子;

ωE——圆筒第二类、第三类屈曲的分界点;

ω——圆筒的结构特征参数;

ωp——圆筒第一类、第二类屈曲的分界点。

c) 对ω>ωE的圆筒

按公式(13)计算ρ:

……(13)

式中:

ρ——圆筒轴向压缩临界应力折减因子;

e——自然常数,取2.718;

ω——圆筒的结构特征参数。

6、圆筒许用轴向压缩应力

按公式(14)计算确定圆筒许用轴向压缩应力值:

……(14)

式中:

[σ]crt——设计温度下圆筒许用轴向压缩应力,单位为兆帕(MPa);

σacr——理想圆筒轴向压缩临界应力,单位为兆帕(MPa);

ρ——圆筒轴向压缩临界应力折减因子;

nab——安全系数,取2.0。

圆筒许用轴向压缩应力取[σ]crt,且不应大于[σ]t

二、计算程序

1、免费使用

微信小程序搜索<工算通>,然后在<工算通>小程序内搜索<150轴向压缩应力>,即可找到计算程序,小程序永久免费使用(有广告)。

扫描下方二维码或者点击图片,亦可打开小程序:

工算通小程序.png

搜索界面 👇

小程序搜索.png

计算界面预览 👇

小程序计算.png

注:小程序只能在线计算使用,不能下载计算书。

2、下载PDF计算书

如需下载计算书,需要在 https://app.engsys.cn 手机号注册,我的 → 在线支付购买<小程序>会员,即可电脑浏览器在线使用,下载计算书。

网页计算界面.png

注:新注册用户送3天全功能会员,可以下载计算书。

3、Excel计算表下载

提供Excel计算表源文件下载,内置所有公式,无密码,无锁定,无水印。

excel缩略图.png

下载地址

付费内容 ¥6.9

此内容需要付费后才能查看